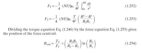
[tmp54F30_thumb3.jpg]