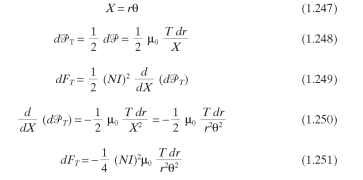
[tmp54F28_thumb3.jpg]