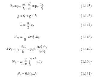
[tmp54091_thumb_thumb3.jpg]