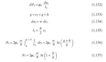
[tmp54087_thumb_thumb3.jpg]