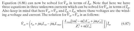
[tmpB30_thumb3.jpg]