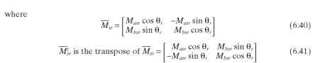
[tmpB7_thumb3.jpg]